China3D printingNet November 7th, according to a report from the Centers for Disease Control and Prevention (CDC), malaria is a mosquito-borne disease caused by parasites. Although less than 2,000 cases are diagnosed in the United States each year, it is a terrible disease in areas like sub-Saharan Africa. According to the World Health Organization, there are more than 217 million malaria cases and 435,000 deaths worldwide.Malaria eradication programs usually focus on eliminating small puddles used by mosquitoes to breed, or using insecticides to killmosquitoOr larvae. But the problem is that in some cases, mosquito populations may become resistant to certain pesticides.
The WHO insecticide susceptibility test (bioassay) is one of the standard methods used to assess the resistance of adult mosquito populations.A group of researchers published an article titled “Open Source 3D Printable Replacement Parts for WHO Insecticide Susceptibility Bioassay System”paper, Outlines their work to make 3D printable versions of the components in the kit.
“The WHO bioassay kit consists of several acrylic resin sheets assembled into a unit. The parts of the kit often break, which reduces the ability of the insects to perform resistance spectrum analysis. Because currently only a single supplier provides a test kit , So it is difficult to purchase replacement parts in time. Here, we show the 3D printable version of all the parts of the WHO bioassay kit.” The team said.
“Using the widely available polylactic acid (PLA) filaments as printing materials, we were able to design and print out functional alternatives for each piece of the WHO bioassay kit. We noticed that we obtained from PLA printing tubes and WHO acrylic tubes The results were not significantly different. In addition, we did not observe PLA degradation due to the extended exposure time of common cleaning solutions.”
WHO’s bioassay test consists of mosquitoes in one of two tubes-one tube is lined with untreated paper and the other tube is lined with insecticide-impregnated paper. The pipe was covered with a screen, and the mosquitoes stayed in it for an hour. 24 hours after exposure, the percentage of mortality of insects in the insecticide tube was used to measure the sensitivity of the insecticide.

Figure 1. WHO bioassay kit and equivalent3D printingpart.The cross-sectional view shows the sliding unit3D printingVersion assembly.
The kit shown in the figure above contains two test tubes, two screen holes, two nuts, four spring clips, one sliding seat and one sliding seat. Some of these components will be damaged, lost or worn over time, which may result in “the ability of insects to perform biological analysis”, and due to the high cost and long transportation time, and the replacement of these components is also economical Not feasible.
The team wrote: “Our design can be used in any equipment3D printingMachine facilities produce replacement parts for WHO biochemical kits, and such parts are becoming more and more popular.
Here, we show the 3D printable replacement parts of the WHO bioassay kit, which can be printed without tools or glue; and the interface with the existing WHO bioassay part. “

3D printing
Version “alt=”WHO bioassay composition photo and corresponding
3D printing
Version” />
Figure 2. Photos of WHO bioassay components and corresponding3D printingVersion. E and H represent the exposure surface and the holding surface, respectively, while red and green dots are used on the WHO kit.
The team used SketchUp and OpenSCAD to create 3D model files for the components, although some parts could not be copied directly; the existing design was slightly modified so that it could be successfully carried out3D printing.Use Ultimaker’s Cura 3.3.1 to cut the file into thin slices, and then use white 1.75mm PLA for these parts3D printing, And use Original Prusa i3 MK3 and MK3S to print.
The outer geometry of the tube rim was changed from square to triangle to save plastic consumption and reduce printing time.The interior of the sliding unit has a sliding part of the door, and the team had to adjust it to make it accessible3D printing.

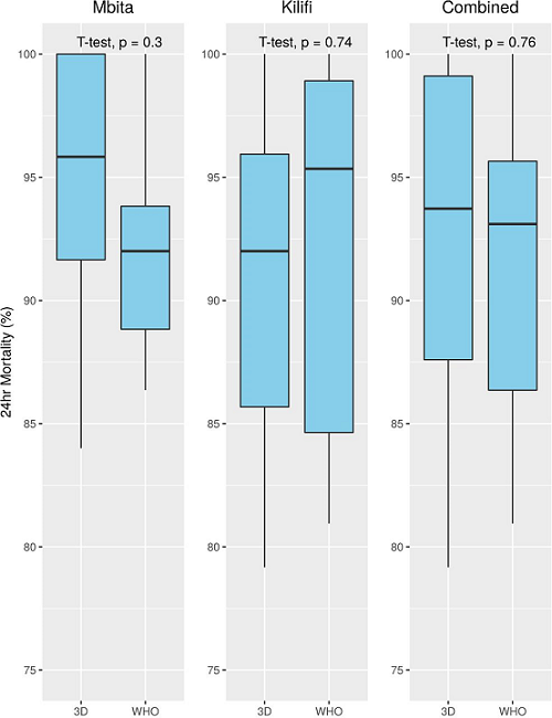
Figure 3. Bioassay results, comparing the WHO bioassay kit and3D printingThe mortality of Mbita, Kilifi kits and their combined results. Use the t test to compare the means of each test.
The team used a standard 4% WHO diagnostic dose of DDT insecticide to conduct drug susceptibility tests on two laboratory strains of Mbita and Kilifi female mosquitoes in Kenya.After being stored for 24 hours, they recorded the mortality percentage and found that the WHO bioassay kit and3D printing“No significant difference” between the kits.They also exposed certain parts (such as mesh screens and screw caps) to four different sucrose solutions often used in actual bioassay procedures to see if PLA degraded.“After exposure to 10% sucrose, 70% ethanol, 3% Rely + On Virkon (Lanxess) and 5% Decon 90 (Decon Laboratories Ltd.), we found no signs of reduction in PLA strength, tension, surface color or size.
China3D printingOnline reviews:3D printingThe best use case for parts is as a replacement library for missing or damaged parts in the original WHO tissue bioassay kit.These alternative components can be combined with other3D printingUses (such as membrane feeder aids, blood filters and diagnostic tools) are used in combination to help understand, diagnose, fight and prevent malaria.
China3D printingNet original article!
(Editor in charge: admin)

0 Comments for “3D printed WHO bioassay kit parts can help fight malaria”