In the recently published “LiFePO 4 / Graphite Battery by Fused Deposition Modeling3D printing ”, French researchers explored an improved method of manufacturing batteries. Due to its versatility, the researchers chose FDM 3D printing, And equipped with graphite/PLA filament.Energy and sustainability have become widely discussed topics and concerns in the world today, and with3D printingTechnology continues to develop through a variety of different software, hardware and materials, and innovations in the fields of energy storage and energy conservation are also constantly evolving. This includes shape customization, including:
- electrode
- Splitter
- Solid polymer electrolyte
- Collector
Nowadays, batteries and electronics can be directly integrated into3D printingIn the product, this is a direct result of “maximizing energy storage requirements while reducing size and weight.”Previous researchers have used commercial graphene-based polylactic acid filaments as materials and successfully carried out3D printingEquipment; However, the material load is always low enough to significantly affect electrochemical performance. The literature reports a summary of the filament characteristics prepared for the FDM process. The density of the helium pycnometer material is used for weight-volume conversion.
For this study, researchers have realized that adding plasticizers can overcome the limitations of materials:
“Indeed, we reported a high-load 3D printable graphite/PLA filament that was specifically designed to be used as the negative electrode of a lithium-ion battery and used in traditional FDM 3D printingmachine. The content of active material (graphite) in the filament should be increased as high as possible (the content of graphite in the entire composite material is 49.2 wt%, which is equivalent to 773 mg of active material per cm 3) to improve electrochemical performance while retaining sufficient mechanical The strength is especially due to the addition of polyethylene glycol dimethyl ether, with an average Mn~500 acting as a plasticizer. “The researcher said.
“Therefore, the negative electrode disc obtained by FDM has an unprecedented reversible capacity: at a current density of 18.6, the active material is 200 mAh g -1 (total composite material is 99 mAh g -1 or to 154.6 mAh cm -3) 6 Active material with mA g -1 (C / 20) and current density of 37.3 mA g -1 (140 mAh g -1 at C) after one cycle (the total composite material is 69 mAh g -1 or 108.2 mAh cm -3 )/10).”
The researchers carried out further work, but they revolved around optimizing LFP-PLA and PLA-SiO 2 composites3D printingSilk conducted research and they explored the application of carbon black as a positive electrode conductive additive and ceramic additive. Divider.With the help of3D printingThe flexibility provided allows the creation of more complex geometries, better optimization of materials, and easier assembly because all parts can be created at once.
The researcher said: “Aware that3D printingThis work is used here as a proof of concept due to the limitations of the machine’s nominal resolution. “

(A) Preparation process: (1) After mixing all the components in the solvent, spread the slurry on the glass support by a doctor blade method, and finally obtain a film; (2) Introduce the homogeneous sheet of the composite film into the extruder middle.Obtained and wound a typical 1.75 mm diameter3D printingSilk. (3) Introduce filament into commercial FDM 3D printingIn the machine; DSC curve: (b) Pure PLA with different amounts of conductive additives (CSP), PLA / LFP wt% 40/60 and PLA / LFP / PEGDME500; (c) Comparison of 10% CSP sample film, filament and3D printingCD.
Using plasticizer poly(ethylene glycol) dimethyl ether with an average Mn~500 (PEGDME500), there is a small exothermic crystallization peak (Tc) around 80°C’. The temperature difference is constant, and according to the researchers, the Tm of the plasticized PLA/LFP film is lower than that of the unplasticized film, dropping from 142°C to about 132°C. To encourage conductivity, the research team created samples with different CSP ranges. When the content increases, the endothermic peak does not change. However, this is not the case for the exothermic crystallization peak (Tc), which has been changed to a lower temperature, reaching 74°C for the 20% CSP sample. Scientists pointed out that this behavior may be attributed to the CSP in the PLA matrix.
“This study combines batteries and3D printingTechnology that solves many electrochemistry (thickness, electronic and ionic conductivity, electrolyte absorption) and3D printingParameters (filling density, filling pattern, perimeter, over-extrusion and under-extrusion, retraction), the researchers concluded: “This is a better performance3D printingLithium-ion batteries opened the way. “
“Finally, because this work is used as a proof of concept here, the author knows that at present, the electrode and separator patterns are 2D, so non-standard patterns can be used.3D printingTechnology to achieve. However, future work will focus on the complex 3D battery architecture, which requires major adjustments to the system and thorough design optimization. Upcoming research may also be devoted to mechanically improving FDM 3D printingThe resolution of the machine and the tedious step of printing a complete battery at a time by using a multi-nozzle configuration. “
Researchers are always looking for better3D printingBattery methods, from custom-made filaments to 3D frozen printing, innovations in wearable devices, and more.

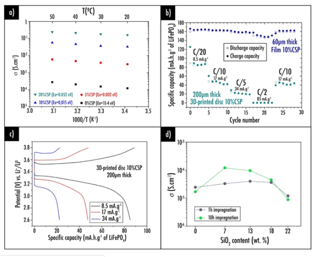
(A) Arrhenius diagram of the conductivity of samples containing CSP as a conductive additive; (b) film and3D printingFigure of the capacity retention of 10% CSP optical disc samples at different C rates. (C)3D printingThe charge/discharge capacity curve of a 10% CSP disc sample. Note that for those experiments, commercial fiberglass separators were used. (D) For samples with different SiO2 content, the conductivity after 1 h and 10 h in the EC:DEC 1:1 volume% electrolyte of 1M LiPF6.
(A) Can use classic3D printingDifferent separator filling patterns obtained by the microtome software (filling density is 40%); (b) Various filling densities of the same filling pattern (Hilbert curve); the complete battery pack after immersion for 1 h is 4.25 mA.g -1 (C/40) capacity retention curve: (c) using 100% packing density of the separator and (d) using 70% packing density of Archimedes chord mode. Here, please note that the thickness of each layer is 200 μm.
(Editor in charge: admin)

0 Comments for “France: FDM 3D printing with graphite can provide better batteries”